*" /> *" />
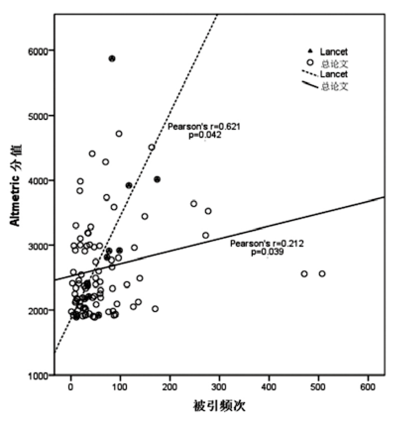
各大国际社交网络平台和新型评价指标的出现,为我国科技期刊的国际传播力建设提供了发展的契机。文章统计分析了2017年Altmetric.com Top 100论文,并基于总论文及单刊《Lancet》分析,发现总论文的Altmetric分值、被引频次和使用次数三者呈两两正相关关系,且单刊《Lancet》的Altmetric分值和被引频次、被引频次和使用次数呈两两正相关关系。研究发现,高Altmetrics论文能够表征高水平论文,Altmetrics指标使得评价提前,说明替代计量学能够补充现有引文评价指标的不足,对单篇论文的学术影响力进行快速评价,指出我国科技期刊可借助新媒体传播优势,推进期刊国际传播能力建设。
丁佐奇,郝海平. Altmetrics与传统计量指标的相关性分析及对科技期刊传播的启示*[J]. 科技与出版, 2019, 38(11): 134-139.
http://kjycb.tsinghuajournals.com/CN/Y2019/V38/I11/134
Cited